PlanB&B: Model-Based Reinforcement Learning for Branch and Bound

First model-based RL agent for exact combinatorial optimization. PlanB&B learns an internal model of B&B dynamics and uses Gumbel Search (MCTS) to discover branching strategies that surpass both prior RL agents and imitation learning. AAAI 2026.

Years
2024 – 2026
Role
Industrial Supervisor (CIFRE EDF)
Team
6 co-authors
Impact
AAAI 2026 · Surpasses IL & prior RL agents
Stack
MCTS · RL · Python · PyTorch · SCIP

Authors: Paul Strang, Zacharie Alès, Côme Bissuel, Olivier Juan, Safia Kedad-Sidhoum, Emmanuel Rachelson

Published: AAAI 2026 · arXiv:2511.09219 — November 25, 2025

Affiliations: EDF R&D · ENSTA Paris (Institut Polytechnique de Paris) · CNAM Paris (CEDRIC) · ISAE-SUPAERO

Predecessor: This work builds directly on the BBMDP formulation introduced at NeurIPS 2025.


My role

Industrial co-supervisor (CIFRE EDF) and problem setter. I defined the EDF application context and research direction, and provided support to the implementation.


Context & Motivation

Despite a decade of effort applying machine learning to Branch and Bound (B&B), reinforcement learning agents have consistently underperformed Imitation Learning (IL). IL learns to mimic the expensive Strong Branching (SB) expert at lower cost, but is fundamentally capped by the quality of that expert. RL, in theory, is bounded only by the maximum achievable performance — yet it has never surpassed IL on standard benchmarks.

A key reason is exploration and credit assignment: B&B episodes are long, rewards sparse, and the combinatorial complexity of MILP exacerbates sample inefficiency. The analogy with board games is instructive — RL also struggled in Go and Chess until model-based planning arrived. AlphaZero and MuZero showed that learning an internal model of the environment and using it for look-ahead search (MCTS) dramatically improves both sample efficiency and final performance.

This paper asks: can the same paradigm be applied to exact combinatorial optimization?


PlanB&B: Planning in Branch and Bound

Left: PlanB&B simulates k-step subtree rollouts in latent space using networks h, f, g — no LP solve required. Right: aggregate normalized solving time (log scale) across four Ecole benchmarks. PlanB&B (100) is the first RL agent to surpass IL-DFS and approach IL★.

PlanB&B adapts the MuZero framework to the B&B setting. Its learned model consists of three interconnected networks:

Network Input → Output Role
Representation \(h\) B&B node \((o, \bar{x}_t) \rightarrow \hat{o} \in \mathcal{H}\) Encode current node into latent space
Dynamics \(g\) \((\hat{o}, a) \rightarrow (\hat{o}_l, \hat{o}_r)\) Predict child node representations without solving any LP
Prediction \(f\) \(\hat{o} \rightarrow (\hat{p}, \bar{v}, b)\) Policy prior, subtree value, branchability score

The branchability head \(b \in \{0,1\}\) is a novel contribution: it predicts whether a generated node will be pruned or will lead to further branching, allowing the model to simulate realistic subtree rollouts and discard dead branches from the imagined tree \(\hat{\mathcal{T}}\) early.

Key difference with MuZero: MuZero operates on full state observations. PlanB&B operates exclusively on the current B&B node \((o, \bar{x}_t)\) — the minimal local information sufficient for optimal branching under DFS (from BBMDP). The dynamics network \(g\) must therefore learn to approximate LP resolution in latent space, without being explicitly trained to solve LPs.


The MDP Foundation

PlanB&B builds on the BBMDP formulation (missing reference): the full B&B tree \(s_t = (\mathcal{V}_t, \mathcal{E}_t, \bar{x}_t)\) is the MDP state, reward \(R(s,a) = -1\) per branching step, discount \(\gamma = 1\). Under Depth-First Search, the value function decomposes as:

\[V^\pi(s) = \sum_{o \in \mathcal{O}} \bar{V}^\pi(o, \bar{x}_o)\]

This subtree decomposition makes local planning globally meaningful: minimising each subtree size locally is equivalent to minimising total tree size. It also keeps planning tractable — subtree trajectories have logarithmic length relative to full episodes.


Gumbel Search in B&B

At each branching decision, PlanB&B runs Gumbel Search (Danihelka et al., 2022) — an MCTS variant designed for large action spaces and limited simulation budgets. At the root, it combines Sequential Halving with the Gumbel-Top-k trick to efficiently identify the best action without evaluating every fractional variable.

Each simulation step costs only 1 call to \(g\) and 2 calls to \(f\). After \(N\) simulations, an improved policy target \(\pi_t\) is produced:

\[\pi'(\hat{\mathcal{T}}, a) = \text{softmax}\!\left(P(\hat{\mathcal{T}}, a) + \sigma\!\left(\tilde{Q}(\hat{\mathcal{T}}, a)\right)\right)\]

balancing the policy prior \(P\) (from \(f\)) against search-accumulated Q-values. During training, the policy network is distilled from these improved targets — the standard MuZero self-improvement loop.


Training

PlanB&B is trained over K-step subtree trajectories \((s_t, a_t, \ldots, s_{t+K})\). The model is unrolled for \(K\) steps and trained with four complementary losses:

\[\mathcal{L}_t(\theta) = \frac{1}{K+1} \sum_{k=0}^{K} \Bigl[\lambda_p \mathcal{L}_p(\pi_{t+k}, \hat{p}^k_t) + \lambda_v \mathcal{L}_v(z_{t+k}, \hat{v}^k_t)\Bigr] + \frac{1}{|\hat{\mathcal{T}}^K|} \sum_{\hat{o} \in \hat{\mathcal{T}}^K} \Bigl[\lambda_b \mathcal{L}_b(b_o, \hat{b}_{\hat{o}}) + \lambda_t \mathcal{L}_t(\check{o}, \hat{o})\Bigr]\]
Loss Purpose
\(\mathcal{L}_p\) Match Gumbel Search policy targets (cross-entropy)
\(\mathcal{L}_v\) Predict n-step returns via HL-Gauss classification
\(\mathcal{L}_b\) Classify branchable vs. pruned nodes
\(\mathcal{L}_t\) Tree consistency (SimSiam-inspired): align imagined node representations with their real counterparts

The tree consistency loss \(\mathcal{L}_t\) is a new contribution: it enforces structural coherence between imagined subtrees and real B&B trajectories, constraining \(g\) to capture only the B&B-relevant aspects of node transitions.

The HL-Gauss value loss encodes subtree sizes as categorical histogram distributions over a log-scale support \(\psi(z) = \log_2(-z)\), handling the multi-order-of-magnitude range of B&B tree sizes.

The training pipeline follows the parallelised EfficientZero architecture with four worker types (MILP actors, CPU rollout workers, GPU batch workers, learner) running in parallel on a 128-core CPU / 4×A100 GPU server.


Experiments

Setup

Four standard Ecole MILP benchmarks · SCIP 8.0.3 backend · DFS node selection · no cuts beyond root · 1h time limit. Results: geometric mean over 100 test and 100 transfer instances, averaged over 5 seeds. Note: PlanB&B results use the policy network alone at evaluation time (no MCTS budget) for fair comparison.

Main Results

Aggregate normalized scores (lower is better, PlanB&B = 100):

Method Node (Test) Time (Test) Node (Transfer) Time (Transfer)
Random 1068 454 8050 3870
PG-tMDP 272 254 373 290
DQN-tMDP 207 188 787 679
DQN-Retro 208 241 1166 1254
PlanB&B 100 100 100 100
IL-DFS 130 131 151 136
IL★ 96 116 70 83
SCIP 58 363 121 132

Key findings:

  • 2× reduction in tree size and solving time vs. prior RL state-of-the-art on test instances; 3× on transfer instances, where the generalization advantage of MBRL is most visible.
  • First RL agent to outperform IL-DFS on both test and transfer — the first time any RL branching agent surpasses an IL approach trained on Strong Branching.
  • On test instances, PlanB&B achieves ≈10% lower solving time than IL★ despite slightly larger trees, due to DFS warm-start speedups (10–30% faster LP re-solves along diving paths, see Q4 below).
  • SCIP produces fewer nodes than any ML method due to aggressive presolving, but is 3.6× slower in total solving time.

Policy Improvement via Planning (Q2)

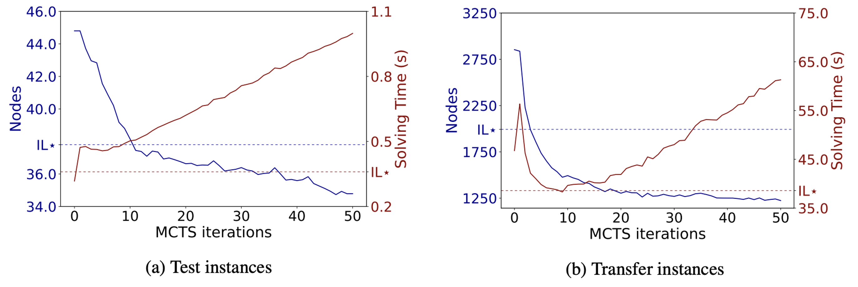
With additional MCTS budget at inference time, PlanB&B further improves:

Maximum Independent Set instances. On test instances (left), PlanB&B beats IL★ in node count at N > 12, reaching ≈20% reduction at N = 50. On transfer instances (right), N = 9 already matches IL★ solving time; at N = 50, tree size is reduced by ≈50%. Note: value network OOD effects limit planning gains on other benchmarks (CA, SC, MK).

Does PlanB&B Simply Imitate Strong Branching? (Q3)

A natural question: does look-ahead planning push PlanB&B closer to SB, effectively recovering IL? The answer is no.

Policy SB C-Entropy ↓ SB Score ↑ SB Freq. ↑
SB (oracle) 0.00 1.00 1.00
IL★ 0.84 0.69 0.45
PlanB&B (N=0) 1.97 0.63 0.39
PlanB&B (N=50) 2.08 0.65 0.40

PlanB&B is consistently further from SB than IL★ on all three alignment metrics, and adding MCTS iterations does not increase alignment. PlanB&B surpasses IL not by better imitating the expert, but by discovering genuinely novel branching strategies. This directly demonstrates RL’s potential to go beyond expert-bounded IL.

The DFS Trade-off (Q4)

DFS produces larger trees than advanced node selection policies (Best-First, Best-Estimate), which conventionally implies slower solving. However, DFS also enables warm-start LP acceleration — when nodes are explored along diving trajectories, the solver can re-use the previous LP basis, reducing transition time by 10–30% across benchmarks. The net impact is a trade-off:

  • On test instances, warm-start gains often compensate for larger trees → PlanB&B beats IL★ in time.
  • On transfer instances, closing the primal gap becomes harder at larger scales; DFS trees grow disproportionately, widening the performance gap with non-DFS IL★.

The relative impact of DFS is captured by the discovery time \(t_d\): the B&B step at which the global optimum is first found. Once \(\bar{x} = x^*\), all node selection policies become equivalent. For MK transfer instances, \(t_r = t_d/T = 1.0\) — the optimal solution is found only at the very end — making DFS maximally costly.


Theoretical Connection: Strong Branching as 1-Step MCTS

The paper establishes a clean theoretical connection: Strong Branching is exactly a depth-1, full-width MCTS that maximises immediate dual bound improvement, using LP solvers as a perfect one-step dynamics model. PlanB&B generalises this by learning a multi-step approximate dynamics model, enabling deeper look-ahead at a fraction of the computational cost. This unification clarifies why SB is such a strong expert and how model-based RL can eventually go beyond it.


Limitations & Future Directions

  • Value network OOD generalisation: the value head \(\bar{v}\) struggles on transfer instances on 3/4 benchmarks (out-of-distribution subtree sizes), limiting planning benefits outside MIS. A progressive training curriculum over instance sizes is the natural fix.
  • DFS requirement: theoretically necessary for subtree decomposition; escaping it requires global B&B tree representations (e.g. Zhang et al., 2025).
  • Training cost: several days per benchmark on 4×A100 GPUs.

Directions opened by PlanB&B:

  • Progressive instance curricula to improve value network OOD generalisation.
  • Global tree encodings to move beyond DFS.
  • MBRL for cut selection, node selection, primal search — the BBMDP+Gumbel Search framework generalises directly.

Resources

arXiv: arXiv:2511.09219 ·

OpenReview: AAAI 2026

Code & pretrained models:

Predecessor (BBMDP @ NeurIPS 2025): project page


Citation

@inproceedings{strang2026planbb,
  title     = {Planning in {Branch-and-Bound}: {Model-Based} {Reinforcement Learning} for {Exact Combinatorial Optimization}},
  author    = {Strang, Paul and Al\`es, Zacharie and Bissuel, C\^ome and Juan, Olivier and Kedad-Sidhoum, Safia and Rachelson, Emmanuel},
  booktitle = {Proceedings of the AAAI Conference on Artificial Intelligence},
  year      = {2026}
}

References